[排序演算法]Heap Sort — 堆積排序法

heap sort 的原理是採用 max heap 這種資料結構來做排序,max heap 是一種 binary tree,每個節點都會比自己的子節點還大,因此根節點會是最大值,讓我們先來理解如何實作一個 max heap 吧!假設現在有一個排序是亂的 binary tree 如下圖

- 先從右邊的 subtree 開始,如果 subtree 的父節點不是最大值就跟子節點做交換,7 跟 9 交換

- 15 已是最大值,所以不用跟子節點交換

- 16 為最大值,故與 3 做交換

- 12 與 8 做交換

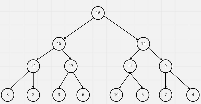
- 當最下層的節點都遍歷完了,就輪到上面一層,15 與 11 交換,不過這時候會發現一個問題,交換過後 11, 10 ,14 這個 subTree 並不是一個 max heap,因此還要再做一次交換

- 因此 14 與 11 交換,每次交換的時候都要檢查下一層的值是否有比當前的值還大,有的話當前值就要跟較大值對調位置

這樣依序的交換過一輪最後就會獲得一個 max-heap🎉

理解了 max-heap 的運作原理之後,就可以來探討如何用 max-heap 做 heap sort 了。
- 先將根節點(16)與 leaf node 最右邊的節點(4)做交換,此時 4 會在根節點的位置,16 會跑到右下角,接著移除右下角的節點並取出 16 放在下方,這時會發現 4 並不是這整顆樹裏面的最大值,因此 4 要向下交換

- 交換過後如果發現下面還有比自己更大的值就要一直交換下去,最後 4 來到了這個位置

- 這時會發現 15 已經是整個 max-heap 的最大值,於是跟 leaf node 下層最右邊的節點 7 做交換,再把 15 從節點中抽離出來,接下來就是一直不斷的重複這個動作

如果還是覺得有點抽象的話,可以參考 heap sort 的流程的 gif,應該可以幫助理解,畫面中的 heapify 指的是將根節點一路向下交換的過程

用 js 實作 max heap
首先先將 tree 轉換成陣列,由上到下將每個節點取出的話 ,可以得到一個陣列[5, 13, 11, 8, 3, 15, 7, 12, 2, 16, 6, 10, 14, 9, 4]

- 需要先建立一個 maxHeap,透過起始點的公式(Math.floor(heapSize / 2))算出 7,先從 index 7 (數字 12)開始,但因為 12 沒有子節點,所以往 index 6 移動(數字 7),開始執行 heapify
- 經過不斷的 heapify,最大值會移動到根節點
- 根節點與 left node 最右邊的節點做交換,將最大值取出,移除 left node 最右邊的節點
- 此時根節點並非最大值,需要再次進行步驟 2,不斷重複…
- 直到全部節點都取出,陣列就排序完成了
用 js 實作 heap sort
1 | const createMaxheap = (arr, heapSize) => { |
不得不說 heap sort 是我覺得最難理解的排序演算法 ,需要反覆消化很多次才能理解 😅
時間複雜度
👍 在最差的情況下,時間複雜度是 O(n log n)
👎 在最佳的情況下,時間複雜度是 O(n log n)
🤚 在平均情況下,時間複雜度為 O(n log n)